Fich, L. B., Hansen, Å., Wallergård, M., Djebbara, A. Z., Jönsson, P., & Gimmler, A. (2017). Measuring the embodiment of architecture. I A. Karandinou (red.), Data + Senses: Proceedings of the International Conference ‘Between Data and Senses; Architecture, neuroscience and the Digital Worlds’. (s. 20-23). University of East London.
Recently, the term embodiment frequently has turned up in connection with architectural thinking, emphasizing the importance of bodily presence in the process of perceiving and interacting with the environment. An example would be Juhani Pallasmaa’s influencial essay “The Eyes of the Skin”, whose purpose he declares is to unfold his “assumptions of the role of the body as the locus of perception, thought and consciousness…” (Pallasmaa 2005, p.10) or the concept of atmosphere founded on “bodily presence” by Gernot Böhne (Böhme 1993). This awareness of the body as a key to understanding our interaction with the environment, being it man-made or not, suggest that a biological, empirical approach might be able to make a contribution, Any living organisms must protect its inner biological balance in order to sustain the fragile biological processes of life – a balance known as the homeostatic balance within physiological terminology – and must therefore react to its environment in order to counterbalance or prevent any threat to its homeostatic balance. In the case of the man-made environment in which we spend most of our time, design decisions therefor presumably influence this biological response in ways which we today have only an imperfect if any substantial knowledge about.
A possible model for understanding this interaction is the “the emotion-feeling cycle” introduced by the American neuroscientist Antonio Damasio. The first part of the cycle, the “emotion” part, is a completely non-conscious process in this terminology, not to betaken as synonymous with ‘feelings’. Rather emotions are defined by Damasio as “complex, largely automated programs of actions concocted by evolution” that is set into motion by a stimulus constituting either a threat or an advantage to the organism’s homeostatic balance. An emotion then consists of programs for adjusting the body- and the mind state in accordance with the challenge the organism is presented to. The feeling part that closes the cycle is defined as: “composite perceptions of what happens in our body and mind when we are emoting”, thus the cycle which was started as a non-conscious emotional process in one part of the brain spreading to the body and brain, is perceived by other parts of the brain and might only then qualify for becoming conscious as a feeling (Damasio 2010, p. 109-111).
Interestingly, this model seems somehow to coincide with Böhme’s concept of atmospheres in his concept of a new aesthetics, as he states:” Perception is basically the manner in which one is bodily present for something or someone’s bodily state in an environment. The primary ”object” of perception is atmosphere” (Böhme, 1993) If Böhme’s concept of atmosphere as a thought experiment is taken as synonymous with Damasio’s concept of conscious feelings being perception of the emotionally driven bodily adjustments, one may notice a surprisingly similarity.
If this idea, from different perspectives implied by writers like Pallasmaa, Böhme, Mallgrave and Damasio that the body is in a constant dynamic interplay with the environment is to be taken at face value, it should be possible to detect it through physiological measures, and in the case of confirmation, to reach a deeper understanding of its consequences.
To investigate if this could be possible, we have conducted an experiment. We chose to work with stress, as the stress systems seems to be the quintessence of an emotion in the Damasian sense of the word – one definition of stress is simply that “stress is a state of threatened homeostasis” (Chrousos et al. 1988). Stress can be divided into two types, although they largely engage the same stress systems. Systemic stress constitutes actual treats like e.g. pain, heat or cold, loss of blood etc. Psychogenic stress on the other hand constitutes the system trying to prevent a possible future threat. In both cases the bodies’ two major stress systems are activated.
The one of them is represented by the two branches of the autonomous nervous systems (ANS), the sympathetic nervous system (SNS) which is part of the sympatho-adrenomedullary (SAM) system. The SNS can be activated within seconds, and deactivated even quicker by the other arm of the SNS, the parasympathetic nervous system (PSN). While the ANS is quickly activated and deactivated, the other system, the hypothalamicpituitary-adrenocortical (HPA) axis, is activated within minutes and its effect can be
present even longer. It works by releasing hormones into the bloodstream, and its end product is the hormone cortisol which has a long range of effects throughout the body including down regulating the immune system, while long lasting exposure to elevated levels of cortisol can cause e.g. depression. These systems are activated to recruit resources for a fight-or-flight behavior to enable the organism to face the challenges. Energy consuming processes which are not immediately necessary like the immune system, digestion and reproductive behavior is suppressed, while the heart rate, respiration and blood pressure are stepped up, and stored energy resources are released (Johnson et al. 1992; Ulrich-Lai and Herman, 2009).
By far the strongest psychogenic stressors are psychosocial stressors, first of all to have something of importance to the “flock” evaluated by others, as the outcome might determine the individual’s place in the social hierarchy and thereby access to resources (Dickerson and Kemeny, 2004; Gruenewald, 2004). We chose to work with psychosocial stress, as it implies the interaction of architecture and behavior, or in the words of Böhme presence “for something or someone’s bodily state in an environment” (Böhme, 1993). We used the Trier Social Stress Test, as it since the early 1990’es has been probably the most used protocol for laboratory research in this type of stressors (Kirschbaum et al., 1993). A test person (TP) has to perform two tasks in front of an evaluative committee, usually consisting of two to three trained actors, who are instructed only to respond with a number of predetermined lines. First the TP is informed by the chairman of the committee that the first task will be to give a 5-minute oral presentation as if applying for a favorable job and that he will get another assignment, but not what it is. The TP is then given 5 minutes to prepare the presentation. After giving the presentation in front of the committee, the TP is given the second assignment: to count backwards in steps of 13 from 1687 – an assignment in which almost nobody can succeed, referring to a negative social evaluation. At Lund University, Sweden, a virtual version of the TSST (Jönsson et al. 2010; Wallergård 2011) has been developed, using a CaveTM, a device, in which a system of projectors coordinated by a computer project onto four large screens including the floor. When a viewer wears a set of 3D glasses and a head tracking device, the computer will coordinate the projected image and produce an illusion of three dimensional spaces. As the space is computer generated, it is possible systematically to manipulate the space, and as the stress reaction basically is a preparation for a fight-or-flight behavior, we used to different spaces, an enclosed space, and a space with three large openings through which
the floor continued uninterrupted to the horizon, potentially allowing for flight (fig. 1) (for a detailed description of procedure, participants etc. see Fich et al. 2014).

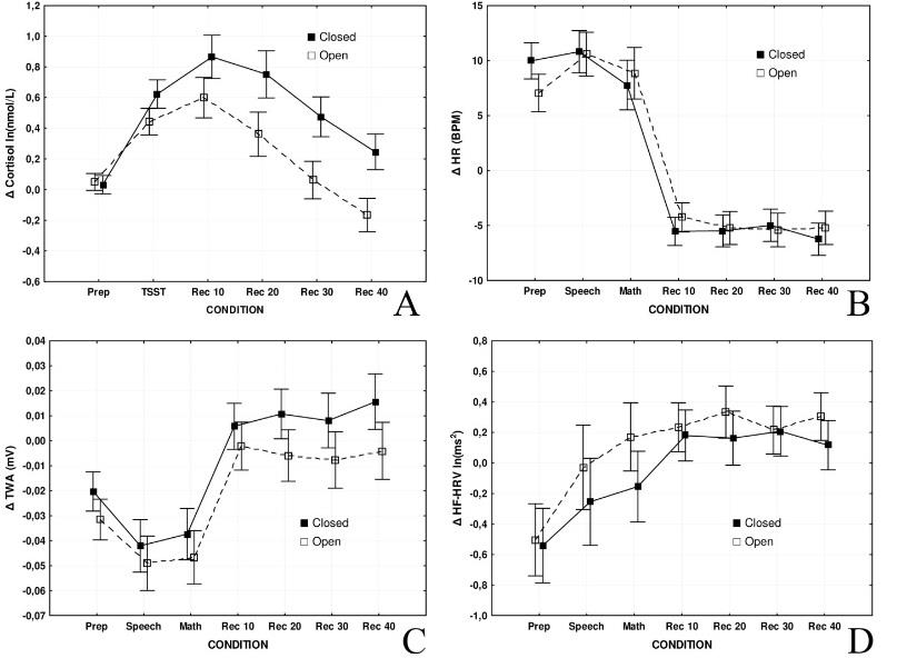
We measured the activation of the SNS and PNS by measuring T-wave amplitude and high frequency heart rate variability while the release of cortisol was measured in saliva samples. The results showed a significant difference in cortisol level depending on the space, but no difference in activation of any part of the ANS, (fig. 2).

It can therefore be concluded, that at least concerning openness versus enclosure, the design of a space influences the resulting body state in terms of cortisol, in connection with a socially stressful event taking place in the space. In other words, the emotional reaction is constituted by a specific combination of the trinity stated by Böhme: a bodily reaction, caused the presence of “something or someone” in an environment with specific characteristics. It suggests that at least one aspect of the experience of architectural space might be the potential behavior that the space allows for, in this case flight. With the many regulatory functions of cortisol within the body, this experiment further suggests, that embodiment taken literally actually might encompass e.g. being able to influence immune functions by way of the architectural design of spaces, qualifying architecture with a new and very strong dimension. The experiment points to the potential of interdisciplinary research. However, the present experiment in itself has a number of important limitations. One question is how strong the effect will be outside the laboratory where a lot of other variables might interact with the effect of the architectural design. Only men were included because the menstrual cycle influences cortisol release (Kudielka and Kirschbaum, 2005; Kudielka, 2009). Hence, asking the question how gender, culture, education and age would influence the result, is pointing to the need of further research. To quote Mallgrave:
“The importance of our emotional well-being cannot be overestimated by architects, if only for the reason that designers are principally engaged
in constructing the habitats in which we live” (Mallgrave 2010, p. 191).
References
- Damasio, Antonio, 2010. Self Comes to Mind; Constructing the Conscious Brain. London: William Heinemann.
- Chrousos, G.P., Loriaux, L.D., Gold, P.W., 1988. The concept of stress and its historical development. In: Chrousos, G.P., Loriaux, L.D., Gold, P.W. eds.; Mechanisms of physical and emotional stress. Vol. 245 3-7. Advances in experimental medicine and biology. New York: Plenum.
- Dickerson, S.S., Kemeny, M.E., 2004. Acute Stressors and Cortisol Responses: A Theoretical Integration and Synthesis of Laboratory Research. Psychological Bulletin, 130(3), pp. 355- 391
- Fich L.B., Jönsson P., Kirkegaard P.H., Wallergård M., Garde A.H., Hansen Å., 2014. Can architectural design alter the physiological reaction to psychosocial stress? A virtual TSST experiment. Physiology and Behavior.;135:91–7.
- Gruenewald, T.L., Kemeny, M.E., Aziz, N., Fahey, J.L., 2004. Acute Threat to the social self: Shame, social self-esteem, and Cortisol activity. Psychosomatic Medicine, 66, pp. 915-924
- Johnson, E.O., Kamilaris, T.C., Chrousos, G.P., Gold, P.W., 1992. Mechanisms of stress: A Dynamic Overview of Hormonal and Behavioral Homeostasis. Neurosciernce in Biobehavioral Reviews, 16, pp. 115-130
- Jönsson, P., Wallergård, M., Österberg, K., Hansen, Å.M., Johansson, G., Karlson, B., 2010. Cardiovascular and cortisol reactivity and habituation to a virtual reality version of the Trier Social Stress Test: A pilot study. Psychoneuroendocrinology, 35, 1397-1403
- Kirschbaum, C., Pirke, K-M., Hellhammer, D.H., 1993. The ’Trier Social Stress Test’: A Tool for Investigating Psychobiological Stress Responses in a Laboratory Setting. Neuropsychobiology, 28, 76-88
- Kudielka, B.M., 2009. Why do we respond so differently? Reviewing determinants of human salivary cortisol responses to challenge. Psychoneuroendocrinology, 34, pp. 2-18
- Kudielka, B.M., Kirschbaum, C., 2005. Sex diffrences in HPA axis responses to stress: a review. Biological Psychology, 69, pp. 113-132
- Mallgrave, H.F., 2010. The Architect’s Brain; Neuroscience, Creativity, and Architecture. Chichester: Wiley-Blackwell.
- Mallgrave, H.F., 2013. Architecture and Embodiment; The implications of the new sciences and humanities for design. London and New York: Routledge
- Pallasmaa, Juhani, 2008. The Eyes of the Skin. Chichester: Wiley
- Ulrich-Lai, Y. M., Herman, J. P., 2009. Neural regulation of endocrine and autonomic stress responses. Nature Reviews; Neuroscience. 10 pp. 397-409.
- Wallergård, M., Jönsson, P., Österberg, K., Johansson, G. and Karlsson, B., 2011. A Virtual Reality Version of the Trier Social Stress Test: A Pilot Study. Presence: teleoperators and virtual environments, 20(4).
The proceedings can be found here. The abstract is on page 20.